Tennessee last will and testament template.A will template is an essential paper that simplifies the frequently intricate and emotional process of estate preparation. This legal paper gives a standard framework for outlining one’s final desires concerning the distribution of assets, guardianship of minor kids, and directions for other individual issues. Having a will template not just provides people regulate over their heritages but additionally provides enjoyed ones a clear, guided strategy to managing estates. Even though it might seem daunting to consider completion of life, preparing a will certainly with a organized template is among the most mindful and responsible activities a individual can take.
Among the primary factors individuals prevent creating a will is the false impression that it’s just for the rich. In truth, a will is a sensible file that can profit anybody, no matter financial condition. A will certainly helps clarify one’s dreams regarding personal belongings, residential or commercial property, and dependents, leaving less unpredictabilities for loved ones. Will certainly design templates have come to be preferred due to the fact that they enable individuals to begin the process without the financial burden of initial lawful assessments. These design templates generally consist of sections for noting possessions, recipients, and other directions, offering customers a simple beginning point for documenting their desires.

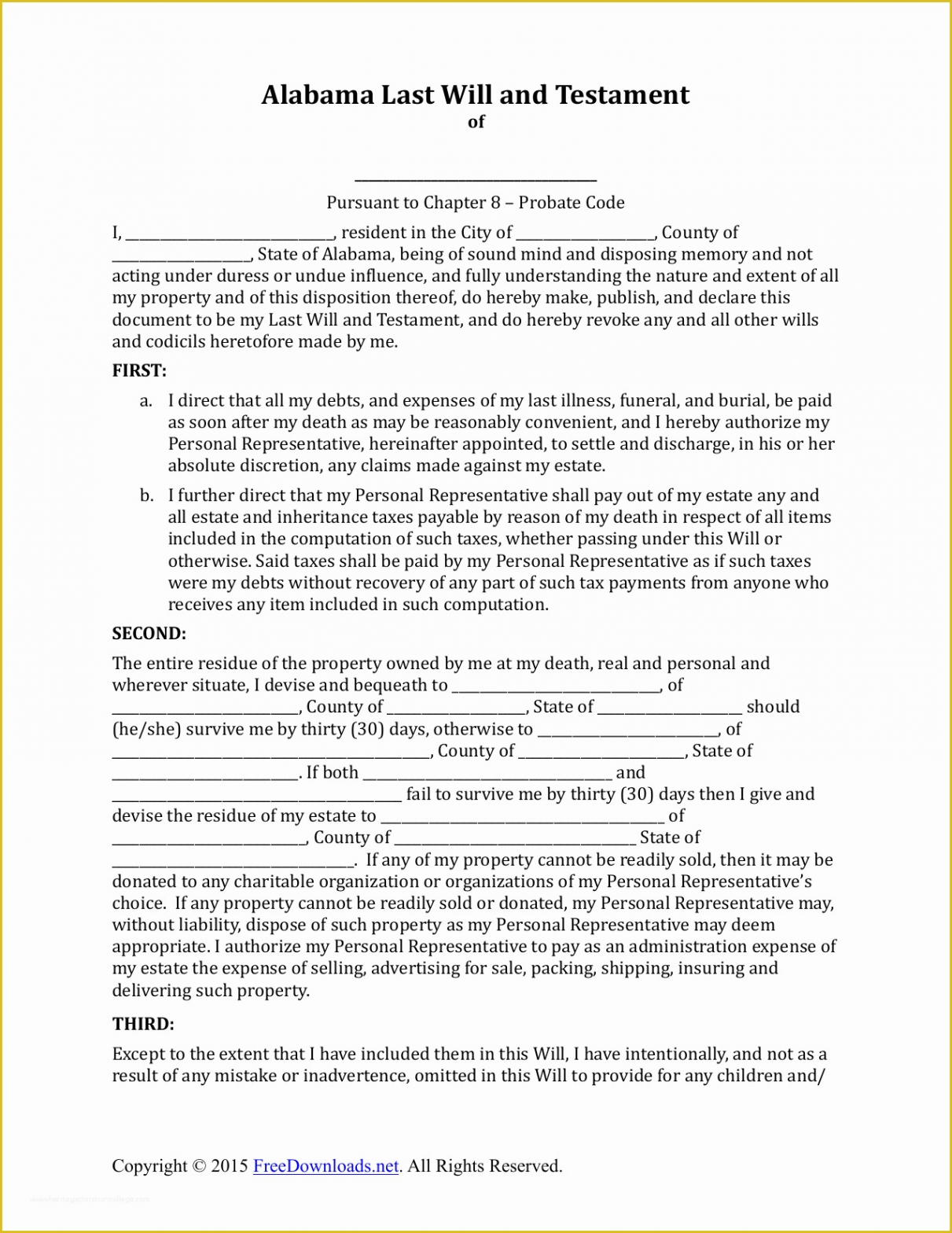
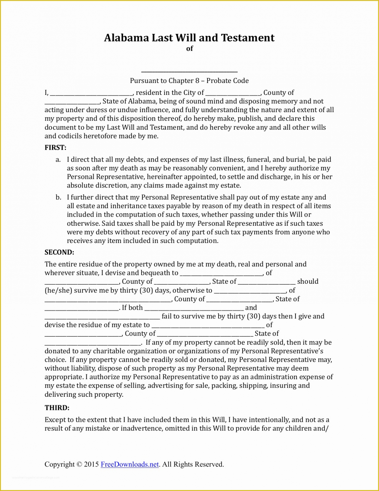
A well-designed will template not only makes the creating process easier but also gives advice to make certain absolutely nothing critical is ignored. The majority of templates include sections covering the key locations needed for a valid will, consisting of identification of the testator (the person creating the will), guidelines on how possessions must be distributed, and the appointment of an executor. An executor is the person in charge of carrying out the terms of the will. By adhering to these organized actions, users of will certainly design templates can ensure they’re attending to crucial elements that make their will certainly get rid of and enforceable.
For individuals without large or difficult estates, a will template offers a cost-efficient option to hiring an attorney. Although legal aid can be useful, especially for those with significant assets or one-of-a-kind family members characteristics, many people locate that a basic theme covers all their demands. Templates usually include simple language that makes it easy to prevent usual lawful mistakes and ensure that the paper follows general requirements. By using a template, individuals can save money on legal costs and maintain even more control over the estate planning procedure.
An additional area of problem is lawful validity. Will layouts supply a structure, however the file should meet specific lawful criteria to be identified in court. Various regions have their very own legislations regarding wills, consisting of witnessing requirements, the testator’s psychological capability, and the requirement for registration. Falling short to follow these regulations could provide a will void. Consequently, it’s usually a good idea to review the finished template with a legal professional, even if the design template simplifies the preliminary drafting.
For many individuals, a will template represents an vital action towards monetary preparation and family members defense. Creating a will is an fundamental part of taking obligation for one’s possessions and loved ones. It aids safeguard the household from the stresses and complication that usually emerge in the lack of clear instructions. Without a will, assets are distributed according to state laws, which might not align with a individual’s intentions. By utilizing a will template, people can prevent this unpredictability and produce a tailored plan for the future.
In addition, will certainly themes can facilitate philanthropic offering. Many people want to leave part of their estate to causes they respect, and a theme can be an superb method to define this intention. Philanthropic legacies can be quickly incorporated into a design template, helping to make sure that these presents are lawfully identified and honored. By using a theme, people can plainly lay out charitable contributions along with individual bequests, stabilizing their priorities within one organized paper.
Will certainly themes are additionally beneficial for people who are arranging a living will. While a last will and testimony specifies wishes after fatality, a living will offers instructions for medical and end-of-life decisions. Many individuals utilize layouts for both types of documents, ensuring all locations of life preparation are covered. These themes are particularly valuable for individuals wanting to document their choices for health care, particularly if they want to detail particular treatments they do or do not intend to get.
There are many different types of will certainly layouts readily available online, so you can select one that ideal fits your scenario. Some popular alternatives include basic wills, which are appropriate for people with straightforward estates, and living wills, which information your medical dreams on the occasion that you end up being incapacitated. Regardless of which kind of will template you select, it’s important to carefully consider your wishes and ensure the document precisely mirrors your purposes.
Lastly, in a digital age where online devices make estate preparation significantly available, will certainly templates are a important possession for positive monetary planning. With themes readily available and usually paired with online lawful solutions, producing a will has become easier and more budget-friendly than ever before. As even more people benefit from these devices, it’s clear that will design templates are assisting demystify estate preparation, making it a practical action that everyone can think about.
Finally, will templates are a practical, affordable means to get going on crucial estate planning. They supply a clear framework for arranging possessions, naming beneficiaries, and giving advice on personal issues. While layouts can not change customized lawful suggestions, they provide a significant advantage by making will production a lot more obtainable. For any person desiring to protect their household’s future, a will template offers a important beginning factor, directing them toward a efficient, legitimately audio strategy. Whether utilized alone or in conjunction with legal services, layouts can simplify the process and motivate more individuals to take control of their heritage.






